वकील ने कांग्रेस कार्यालय में महिला से रेप किया, पीड़िता के घर पर कब्जा जमाया
ग़ाज़ीपुर न्यूज़ टीम, आगरा. आगरा में वकील ने अपनी महिला क्लाइंट को पिस्टल दिखाकर कांग्रेस कार्यालय में रेप किया। इसके बाद पीड़िता के घर पर जबरन आना शुरू कर दिया। धर्म परिवर्तन कराने और रोजे रखने का दबाव बनाने लगा। उसके घर में ही नमाज पढ़ने लगा।
![]() |
| पीड़िता ने बताया- जबरन मेरे ऊपर धर्म परिवर्तन का दबाव बनाया। |
जब पीड़ित महिला ने इसका विरोध किया तो उस पर चाकू से हमला कर दिया। पीड़ित ने आरोपी वकील के खिलाफ रेप सहित अन्य धाराओं में केस दर्ज कराया है। घटना शाहगंज थाना क्षेत्र की है।
पुलिस का कहना है कि FIR दर्ज कर ली गई है। पीड़िता को मेडिकल के लिए भेजा है। आरोपी की अभी गिरफ्तारी नहीं हो सकी है।
अब पढ़िए पूरा मामला...
थाना शाहगंज क्षेत्र की रहने वाली पीड़ित महिला ने बताया- जुलाई 2019 में भाइयों से मेरा विवाद हो गया था। इसके बाद मैं दीवानी कचहरी गई थी। वहां मेरी मुलाकात जलालुद्दीन से हुई। जलालुद्दीन ने अपने आप को वकील बताया। मैंने जलालुद्दीन को अपनी समस्या बताई। जलालुद्दीन ने मेरी मदद करने का भरोसा दिया।
![]() |
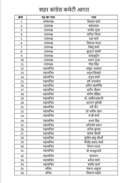
| आरोपी वकील जलालुद्दीन को शहर कांग्रेस कमेटी आगरा में कुछ दिन पहले उपाध्यक्ष बनाया गया था। इस लिस्ट में उनका नाम 9वें नंबर पर है। |
जलालुद्दीन पुत्र स्व सिराजुद्दीन निवासी सगीर फातिमा गर्ल्स इंटर कॉलेज परिसर अभी ताजगंज में रहता है। मैंने भरोसा करके जलालुद्दीन से सम्पर्क शुरू कर दिया। जलालुद्दीन ने मुझे अपने प्रेम जाल में फंसाना शुरू कर दिया। मेरे ऊपर पर बुरी नजर रखने लगा।
![]() |
| यह फोटो आरोपी वकील जलालुद्दीन का है। |
कांग्रेस कार्यालय पर रेप किया
6 साल पहले जलालुद्दीन मुझे दवा दिलाने के बहाने एमजी रोड स्थित कांग्रेस कार्यालय पर ले गया। पिस्टल दिखाकर मेरे साथ रेप किया। कहा कि अब तेरी इज्जत मेरे हाथ में है। अगर तूने पुलिस को बताया तो मैं तुझे बदनाम कर दूंगा। समाज में रहने लायक नहीं छोडूंगा। मैंने डर व बदनामी की वजह से घटना की जानकारी अपने दिव्यांग पति और परिवार में किसी को भी नहीं दी।
धर्म परिवर्तन करने का दबाव बनाया
जलालुद्दीन बदनामी का डर का दिखाकर मेरे साथ आए दिन घर आकर रेप करता रहा। मुझ पर धर्म परिवर्तन करने का दबाव डालने लगा। मेरे साथ शादी करने के लिए कहने लगा। मैंने मना कर दिया। महिला ने बताया कि मेरे पति दिव्यांग हैं और गुजरात में रहते हैं। शाहगंज में मैं अपनी बेटी और मां के साथ रहती हूं। इसका फायदा उठाकर जलालुद्दीन मेरे घर में आने लगा। घर में जब कोई नहीं होता तो वह मेरे साथ रेप करता।
मेरी मां की मौत के बाद जलालुद्दीन ने मेरे घर पर कब्जा कर जमा लिया। वह मेरे घर में ही नमाज पढ़ता था। मुझसे रोजे रखवाता था। उससे निकाह करने और धर्म परिवर्तन करने का दबाव बनाता था। मैंने जब विरोध किया तो 1 जनवरी दोपहर 3:20 बजे जलालुद्दीन ने मेरे ऊपर चाकू से हमला किया। मैं किसी तरह बच गई, जिसकी रिकार्डिंग भी मेरे पास है।
इसके बाद जलालुद्दीन मुझे फोन पर लगातार बदनाम करने व जान से मारने की धमकी देने लगा। मैं 2 जुलाई को किसी तरह हिम्मत करके रिपोर्ट लिखवाने शाहगंज थाने गई। लेकिन मेरी रिपोर्ट नहीं लिखी गई। मैंने दोबारा SP को प्रार्थनापत्र दिया। इसके बाद थाना प्रभारी शाहगंज को FIR दर्ज करने का आदेश दिया गया।
डर के कारण घर पर ताला लगाती थी
पीड़ित ने बताया- बदनामी के डर से वो सब कुछ चुपचाप सहन कर रही थीं। वो आरोपी से इतना डरी हुई थीं कि अपने घर पर बाहर से ताला लगाकर अंदर बंद रहती थी। आरोपी घर पर आकर जोर-जोर से दरवाजा पीटता था। जब मेरी बेटी के एग्जाम थे तो मैंने 15 दिन होटल में रहकर बेटी को एग्जाम दिलाए।
पुलिस ने बताया- एफआईआर दर्ज कर ली है। पीड़िता को मेडिकल के लिए भेजा है। आरोपी की अभी गिरफ्तारी नहीं हो सकी है।
कमेटी के शहर अध्यक्ष बोले- आरोप सिद्ध होंगे तब पार्टी कार्रवाई करेगी
जिला शहर कांग्रेस कमेटी के शहर अध्यक्ष अमित सिंह का कहना है कि जलालुद्दीन ने महिला के साथ शादी की है। वो उनके साथ 4 साल से रह रहे थे। महिला ने जो आरोप लगाए हैं, उनकी जांच हो जाए। आरोप सिद्ध हो जाएंगे तो उन पर पार्टी कार्रवाई करेगी। इसके अलावा जिसे कार्यालय बताया जा रहा है, वो पार्टी का पूर्व में कार्यालय था। अब कार्यालय राजामंडी में है।


